联系人:王经理
手 机:18700885303
电 话:18700885303
地 址:商务中心:陕西省西安市长安区郭杜街办居安路899号;实验中心:陕西省杨凌区众创田园创新创业园

摘 要:
土壤微生物对磷(P)的活化在陆地生态系统的肥力和生产力中起着至关重要的作用,但施肥策略对这一过程的影响尚不明确。为了填补这一空白,本研究对来自85个独立施肥试验的1082个观测数据进行了meta分析,以评估磷相关功能基因(phoD、phoC和pqqC)丰度和多样性对肥料添加的响应。总的来说,单独添加有机肥(OM)或有机无机配施(OM + IF)均能提高土壤微生物生物量磷(MBP)、土壤磷酸酶活性和phoD基因丰度。相反,增施氮(N)肥增加了pqqC基因丰度,但降低了MBP和phoD基因的丰度。P肥施用增加了MBP和phoD基因的多样性,而配施NP(有或没有K)增加了酸性磷酸酶活性、MBP、pqqC基因丰度和phoC基因的多样性。具体而言,施肥对根际特性的影响因肥料类型而异:OM提高了根际磷酸酶活性和phoD基因丰度,而P肥和氮磷钾复合肥(NP(K))肥料则降低了根际磷酸酶活性和phoD基因丰度。此外,随着年平均气温和降水的增加,OM对土壤磷酸酶活性和phoD基因丰度的影响增大,而P肥添加对phoD的Chao1指数的影响减小。随着试验时间延长,OM对phoD基因丰度的影响增强,N肥添加的影响被抑制。在所有施肥研究中,结构方程模型表明土壤磷酸酶活性与土壤有机碳(SOC)、pH和phoD或phoC基因丰度密切相关。本研究综合分析强调了有机肥及有机无机配施对土壤微生物磷循环和相关功能基因的益处,为陆地生态系统中磷的活化和利用效率提供了深刻的见解。
研究背景:
磷(P)是所有陆生生物所必需的关键大量营养元素,但土壤全磷中仅有少部分(< 6%)为植物有效态磷。有效磷的低浓度、低迁移性以及时空异质性加剧了磷限制效应,影响了82%的陆地生态系统。这种限制作用对碳(C)固存、土壤健康和粮食安全等生态系统服务产生深远影响。P肥施用是解决该问题的常规手段。然而,它们的有效性是有限的,只有10-20%的施入磷被植物吸收,剩余的磷会迅速转化为难溶性形态。磷会通过淋溶和径流流失,过量施用造成了环境污染。提高农业磷的另一种方式是通过土壤微生物驱动有机磷矿化与无机磷溶解等过程活化难利用态磷,该策略在减少矿物肥料需求的同时,有望提升生态系统健康与可持续性。秸秆、生物炭和粪肥等有机改良剂可作为化学磷肥的可持续替代品,这些改良剂能提升土壤生物有效磷含量并促进土壤微生物对的磷活化。因此,采用环境友好型肥料管理措施既能减少化肥使用,又能提高磷利用效率,这对提升植物产量和保障环境健康都有重要意义。
土壤微生物在调控土壤磷有效性和促进植物磷获取方面发挥关键作用。在陆地生态系统中,当土壤有效磷水平较低时,古菌、细菌、真菌、动物和植物等土壤微生物会通过上调磷酸酶基因合成磷酸酶。细菌中这类基因属于Pho调控子,这是一个管理细胞磷代谢的基因网络,包含酸性和碱性磷酸酶基因、高亲和力磷酸盐转运蛋白基因以及其他活化机制相关基因。经磷酸酶水解的磷酸单酯可占土壤有机磷组分的90%。值得注意的是,作为Pho调控子组分的细菌phoD基因,是已知参与细菌中碱性磷酸酶(ALP)合成相关的三个同源基因(phoA、phoD和phoX)之一。该基因在细菌界广泛存在,且在中性至碱性土壤中丰度较高,表明其在有机磷转化中具有重要作用。此外,pqqC被认为是调控无机磷释放的关键因子。pqqC基因的表达可以催化葡萄糖酸的形成,葡萄糖酸能溶解无机磷酸盐,因此可作为解磷菌的生物指示剂。利用微生物与肥料策略的协同作用来优化植物对土壤磷获取途径的利用,具有显著的经济和环境效益。尽管系统中磷的持续输出(例如,通过作物收获或动物产品)需要定期补充,但调控这些微生物过程有助于维持植物有效磷的供应,减少对过量化学施肥的依赖,并促进生态系统的可持续健康。
土壤微生物在磷活化过程中的关键作用已通过大量施肥试验得到充分证实。然而,这些研究表明携带pqqC、phoC和phoD基因的细菌群落对施肥的响应并不一致。具体而言,有机改良剂或无机NP肥的施用可能降低、提高或对磷循环功能基因的丰度无显著影响。同样,施肥后磷循环基因的多样性可能降低、提高或保持不变。这种地下群落对养分添加的响应变异性限制了理解施肥如何影响管理生态系统中的微生物磷循环过程。实验参数(例如,资源输入类型、施用量和持续时间)、土壤性质和气候因素的差异可能是导致不同研究出现分歧结果的原因。例如,堆肥对phoD或pqqC基因无显著影响,而生物炭和秸秆则提高了pqqC基因的丰度。在小麦根际土壤中,phoD基因多样性在五种磷肥梯度下保持稳定,但在苜蓿田的多梯度施肥试验中却出现下降。尽管已有这些认识,但对于施肥管理如何影响磷相关功能基因并可能调控微生物磷周转的理解在全球陆地生态系统中仍然有限。未来研究需要填补这些知识空白,为优化植物土壤磷获取的可持续施肥策略提供科学依据。
在施肥农田和管理草地土壤中,土壤pH是决定携带phoC、phoD或pqqC基因细菌群落结构的关键因子。然而,土壤pH的变化往往与SOC或有效磷含量的变化同步发生。此外,受植物根系影响的根际区域比非根际土壤拥有更丰富的微生物群落,从而导致不同的磷酸酶活性、磷循环基因和溶磷细菌群落结构。例如,有机肥的施用虽未显著改变根际和非根际土壤中phoC基因的多样性,但随着施肥量的增加,非根际土壤中phoD基因多样性降低,而根际土壤中却呈现增加趋势。气候因素与施肥效应会通过复杂方式相互影响土壤微生物。研究发现,在温暖或潮湿环境中,P肥或NP复合肥对细菌丰度的影响更为显著。但从全球尺度来看,相较于气候因素,人为干扰对磷循环功能基因丰度的影响更为突出。有研究通过对15个独立农田的研究发现,气候因素对携带phoD基因微生物群落的影响超过施肥措施。通过综合这些不同施肥试验的研究结果,考虑根际与非根际土壤条件,并考虑气候变量,可以确定促进微生物磷周转的最佳方案,从而提高磷利用效率和植物产量。
以往有综述和meta分析主要关注有机改良剂、氮添加及其他全球变化因子对土壤磷酸酶活性的影响。然而,关于施肥管理对磷循环功能基因的影响及其调控磷酸酶活性的内在机制,目前仍缺乏系统性整合研究。本研究基于85项独立施肥试验的1082组观测数据开展meta分析,旨在揭示pqqC、phoC和phoD基因丰度和多样性对有机和无机肥施用的全球响应格局,并阐明其影响因素与作用机制。具体研究目标包括:(1)定量分析土壤中pqqC、phoC和phoD基因丰度及多样性对有机和无机肥施用量的响应;(2)解析根际效应、气候和施肥方式等因素对土壤中pqqC、phoC和phoD基因丰度与多样性差异响应的调控作用;(3)验证土壤性质与气候因素是否介导施肥措施对phoC和phoD基因丰度多样性及土壤酸性和碱性磷酸酶活性的影响。
研究方法:
利用Web of Science(WOS,https://apps.webofknowledge.com/)和中国知网(CNKI,https://www.cnki.net)检索2023年10月之前经过同行评审的文献和学位论文,构建了一个综合数据库。研究重点是探讨多种肥料类型对phoD、phoC和pqqC基因丰度和多样性的影响,包括OM(如粪肥、秸秆和生物炭等)、OM + IF以及N肥、P肥和NP(K)肥的施用。同时,还收集了其他与磷相关的微生物特性数据,包括16S rRNA基因丰度、微生物生物量碳(MBC)、微生物生物量磷(MBP)、土壤酸性磷酸酶(ACP)和土壤碱性磷酸酶(ALP)以及地上生物量。此外,还收集了土壤理化性质(如,土壤pH、土壤有机碳(SOC)、全氮(TN)、全磷(TP))、气候条件(如,年均温度(MAT)、年均降水量(MAP))以及实验细节(如,实验类型和资源投入类型、施用速率和持续时间)。
主要研究结果:
1.施肥策略对土壤微生物磷循环的影响
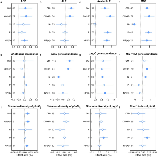
OM及OM+IF处理显著提高了ACP、ALP的活性和phoD基因丰度(P < 0.05)(图1)。除N肥外,其他施肥处理均显著增加土壤有效磷含量。MBP对N肥呈负响应,而对其他肥料均呈正响应。整合分析表明,NP(K)肥显著提升ACP活性,而N肥与OM+IF处理则增加了16S rRNA基因丰度(P < 0.05);N肥处理显著增加pqqC基因丰度,但降低phoD基因丰度(P < 0.05,图1);然而,P肥与NP(K)肥处理对16S rRNA基因拷贝数、phoC及phoD基因丰度无显著影响;NP(K)肥处理显著提高pqqC基因丰度及phoC基因的Shannon指数(P < 0.05);P肥处理显著增加phoD基因Chao1指数及pqqC基因Shannon多样性(P < 0.05)。

图1 施肥管理对土壤微生物变量的影响
2.根际效应和气候因素对施肥方式的影响
OM、OM+IF、P肥和NP(K)肥对ACP、ALP活性、phoD基因丰度以及phoC基因Shannon多样性的影响在根际土壤与非根际土壤中存在显著差异(图2)。OM+IF处理对非根际土壤ACP和ALP活性的提升效应显著高于根际土壤(P < 0.05)。OM+IF和NP(K)肥处理使非根际土壤MBP分别显著增加115%和79%(P < 0.05),但对根际土壤MBP无显著影响P肥处理使非根际土壤和根际土壤中MBP响应分别提高了71%和165%,且根际土增幅更为显著(P < 0.05)。
回归分析表明,phoD基因丰度对有机肥的响应随MAT升高呈线性增加趋势(P < 0.05,图3)。同时发现,ALP对有机肥的响应强度与MAP呈显著正相关。phoD基因Shannon多样性指数随有机肥施用年限增加而上升,随N肥施用年限延长而下降。在P肥处理下,phoD基因Chao1指数对施肥的响应随MAT升高而降低(图3)。

图2 OM、OM + IF、P肥或NP(K)肥对ACP和ALP、phoD基因丰度和phoC的Shannon多样性的影响。

图3 元回归分析
3.土壤酶活性与功能基因的关系及SEM揭示的调控路径
Meta分析揭示了土壤酶活性、微生物基因丰度与土壤性质之间的显著相关性。ALP的响应与phoD基因丰度和Shannon指数以及土壤pH的响应正相关(P < 0.05)ACP与phoC基因丰度的响应而增加(P < 0.05,图4)。phoD基因丰度及Shannon指数均随土壤pH和SOC增加而提高。此外,土壤有效磷的响应与phoC基因丰度和MBP的响应呈正相关(P < 0.05,图4),pqqC基因丰度响应值随SOC增加而增加(P < 0.05)。在此基础上,进一步采用结构方程模型(SEM)解析土壤ALP和ACP活性全球变化的主要控制因子。
分析表明,土壤pH、SOC、MAP及phoD基因丰度与Shannon多样性是影响土壤ALP活性总体变化的主要控制因子(图5)。phoD基因丰度与土壤pH(标准化系数=0.355,P <0.01)和SOC(0.353,P <0.05)呈正相关。phoD基因的Shannon多样性与土壤pH值呈正相关(标准化系数=0.352,P <0.05)。SOC通过调控phoD基因丰度和Shannon指数影响土壤ALP活性。土壤pH通过直接作用及调控phoD基因丰度和Shannon指数间接影响土壤ALP活性。ALP活性与土壤pH值(标准化系数=0.326,P <0.01)和phoD基因丰度(标准化系数=0.457,P <0.001)呈正相关。
ALP活性、phoD基因丰度和phoD基因Shannon指数与MAP的相关性不显著。这些因素共同解释ALP活性69%的变异。ACP活性主要与phoC基因丰度、土壤pH、SOC及MAP有关,其中ACP活性随phoC基因丰度(标准化系数=0.474,P <0.01)和SOC(标准化系数=0.454,P <0.05)增加而升高,随土壤pH降低而增强(标准化系数=0.414,P <0.05)(图5)。有效磷通过调控phoC基因丰度影响ACP活性,而phoC基因丰度与土壤pH正相关(标准化系数=0.374,P <0.05)控制因素组合共同解释ACP活性63%的变异。

图4 元回归分析结果

图5 SEM揭示了土壤pH、SOC和速效磷对ALP、MAP、phoD基因丰度以及phoD的Shannon多样性指数的影响,以及土壤pH、SOC、MAP和速效磷对ACP和phoD基因丰度的影响。
结论:
通过对不同施肥处理的meta分析,本研究系统解析了施肥管理对磷循环功能基因丰度与多样性的影响,并揭示了土壤性质、实验条件及气候因素对phoC、phoD和pqqC基因丰度和多样性的影响,以及施肥驱动磷酸酶活性变化的的潜在机制。这是首个在全球陆地生态系统中同时涵盖有机肥与合成肥料施用的大规模综合分析,突出了微生物磷循环过程的关键作用(图6)。过度施用磷肥会带来显著的农业和环境挑战,包括磷矿石的不可再生性以及由于径流中磷的流失导致的水生生态系统富营养化的风险。然而,土壤中储存着大量的无机和有机磷,这些磷可以通过磷酸酶催化的矿化作用或有机阴离子介导的溶解作用等过程被植物和微生物利用。本研究结果表明,部分用有机改良剂替代磷肥有可能增加与磷循环相关基因(例如phoD、phoC和pqqC)的丰度,进而可能促进土壤磷的有效性,减少磷肥用量,并提高磷肥的利用效率。这为农业系统及其他自然生态系统的可持续磷管理提供了宝贵策略。

图6 示意图
Copyright © 2022 陕西佰瑞斯生物科技有限公司 All Rights Reserved. 陕ICP备2025058944号 XML地图
技术支持:网站模板